Трехфазные модели
Трехфазный выпрямитель встретить можно только в трансформаторных подстанциях. Работают устройства от высоковольтной чети. В данном случае принцип работы модели построен то резком увеличении частоты. Параметр выходного напряжения при этом остается неизменными. Выпускаются модели на три и четыре канала. Подсоединение у них происходит через проводники.
Трехфазный выпрямитель на три канала выпускается с тетродами. В некоторых случаях для стабилизации процесса преобразования применяются расширители
Если говорить про выпрямители на четыре канала, то важно отметить, что они производятся всегда с усилителями. В данном случае показатель проводимости тока лежит в пределах 70 мк
Чувствительность выпрямителя равняется не более 4,2 мВ.

Однофазные выпрямители
Основными схемами однофазных выпрямителей являются однополупериодная и двухполупериодная (мостовая или со средней точкой).
Однофазная однополупериодная схема является самой простейшей схемой выпрямителя.

Трансформатор преобразовывает сетевое напряжение первичной обмотки Uc в напряжение вторичной обмотки U2. Так как диод Д имеет одностороннюю проводимость, ток I2 будет протекать только при положительной полуволне вторичного напряжения, при отрицательной полуволне диод будет закрыт. Так как ток в нагрузке Rн протекает только в один полупериод, отсюда и название выпрямителя — однополупериодный.
К недостаткам однополупериодных выпрямителей следует отнести униполярный ток, который, проходя через вторичную обмотку, намагничивает сердечник трансформатора, изменяя его характеристики и уменьшая КПД, высокий уровень пульсаций и большое обратное напряжение на диоде.
Двухполупериодные схемы выпрямления уже значительно интересней. Из них наибольшую популярность приобрела мостовая схема включения диодов.
Схема состоит из трансформатора и четырех диодов,собранных мостом. Одна из диагоналей моста соединена с выводами вторичной обмотки трансформатора, вторая диагональ с нагрузкой. При положительном потенциале в точке a вторичной обмотки трансформатора ток пойдет по цепи точка a вторичной обмотки – A – диод Д1 – B – нагрузка Rн — D — диод Д3. К диодам Д2 и Д4 при этом приложено обратное напряжение, они заперты. При изменении направления Э.Д.С и тока во вторичной обмотке положительный потенциал появится уже в точке b вторичной обмотки трансформатора. Ток при этом пойдет по цепи b — C — диод Д2 — B — нагрузка Rн — D — диод Д4.
Таким образом ток в нагрузке не меняет своего направления. Кривые напряжения и тока на нагрузке повторяют (при прямом напряжении на диодах U np ≈ 0) по величине и форме выпрямленные полуволны напряжения и тока вторичной обмотки трансформатора. Они пульсируют от нуля до максимального значения.
Кроме мостовой схемы выпрямления может применяться двунаправленная схема.
Схема состоит из трансформатора со средней отпайкой на вторичной обмотке и двух диодов. Когда в точке a имеется положительный потенциал ток протекает по цепи a — диод Д1 — нагрузка Rн — отпайка вторичной обмотки. При положительном потенциале в точке b вторичной обмотки ток потечет по цепи b — диод Д2 — с — нагрузка Rн — отпайка вторичной обмотки.

На левом рисунке показана зависимость напряжения вторичной обмотки трансформатора от времени, на правом изменение тока нагрузки. Как следует из работы выпрямителя, направление тока в нагрузке неизменно. Вторичная обмотка трансформатора двухфазная и каждая фаза работает половину периода. Напряжение на нагрузке в любой момент равно мгновенному значению ЭДС фазы, работающей в данный момент.
К основным минусам данной схемы можно отнести необходимость делать отпайку вторичной обмотки трансформатора и большое обратное напряжение диода Uобр = 2U2м = 3,14U0, поэтому она не получила столь широкого распространения как мостовая схема.
Последовательное и параллельное соединения диодов.
Если для выпрямительной схемы нельзя выбрать нужный тип диода в соответствии с заданным значением обратного напряжения или прямого тока, то используют два или более однотипных диодов с меньшими значениями параметров, включая эти диоды последовательно или параллельно.
Параллельное соединение диодов
Параллельное соединение диодов
При параллельном соединении диодов из-за возможного разброса параметров их токи будут неодинаковыми. Один из этих токов может превысить максимально допустимое значение, что приведёт к выходу из строя сначала одного, а затем и другого диода. Более равномерное распределения тока между параллельно соединёнными диодами достигается включением последовательно с каждым из них одинаковых по номиналу резисторов Rд. Сопротивление резисторов Rд должно быть в 5…10 раз больше, чем сопротивление диода в прямом направлении. В мощных выпрямительных устройствах для этой же цели используются индуктивные выравниватели токов.
Расчёт параллельного соединения диодов
Для начала расчёта необходимо определить требуемое количество параллельно соединённых диодов, исходя из того, что ток, проходящий через один диод не должен превышать значения максимально допустимого значения тока для данного типа диода, тогда количество параллельно соединённых диодов будет равно
mTnp
При дробных значениях расчётного количества диодов округление ведётся в большую сторону.
Значение сопротивления добавочных резисторов определяется по формуле
, где
np.cp
Расчитаное сопротивление добавочных резисторов округляют до ближайшего стандартного сопротивления.
Пример расчёта параллельного соединения диодов
Рассчитать выпрямительную цепь, позволяющую получить выпрямленный ток Iвыпр = 550 мА, если используются диоды Д226Б.
Так как средний прямой ток диода Д226Б Iпр. ср = 300 мА, то необходимо применить несколько параллельно соединённых диодов с добавочными резисторами. Рассчитаем количество параллельно соединённых диодов, примем kT = 0,8
Возьмём n = 3.
Найдём значение сопротивлений добавочных резисторов

Выберем резистор из стандартного ряда сопротивлений Е24 (± 5%) Rдоб = 6,2 Ом
Последовательное соединение диодов

Последовательное соединение диодов
Для обеспечения возможности работы выбранного типа диода в схеме выпрямителя с обратным напряжением, превышающим его максимально допустимое значение, следует соединять однотипные диоды последовательно. Если параметры не совпадают, то один из диодов оказывается под значительно большим напряжением, чем другой. Это может привести к пробою одного, а затем и другого диода. Выравнивание обратного напряжения на последовательно соединенных диодах достигается шунтированием каждого из диодов резистором Rш. Ток, протекающий через эти резисторы, должен быть в 5…10 раз больше максимально возможного обратного тока диодов. В мощных высоковольтных выпрямительных устройствах для этой же цели диоды шунтируют конденсаторами Сш или RC-цепью.
Расчёт последовательного соединения диодов
Для начала расчёта необходимо определить количество последовательно соединенных диодов, исходя из того что падение напряжения на каждом отдельно взятом диоде не должно превышать амплитудного значения напряжения, тогда количество последовательно включённых диодов будет равно
, где
Um — амплитудное значение напряжения проходящее через диод, kH – коэффициент нагрузки по напряжению (может принимать значения от 0,5 до 0,8), Uobp max — максимально допустимое обратное напряжение диода.
При дробных значениях расчётного количества диодов округление ведётся в большую сторону.
Значение сопротивлений шунтирующих резисторов определяется по формуле
, где
Iобp max — максимально допустимый обратный ток диода при максимальной температуре.
Пример расчёта последовательного соединения диодов
Рассчитать выпрямительную цепь для напряжения с амплитудным значением 700В, используя диоды Д226Б.
Так как максимально допустимое обратное напряжение диода Uобр.max = 300В, то для выпрямления необходимо применить цепочку из последовательно соединённых диодов с шунтирующими резисторами. Рассчитаем количество последовательных диодов, примем kH = 0,7
Возьмём n = 4
Найдём значение сопротивлений шунтирующих резисторов

Выберем резистор из стандартного ряда сопротивлений Е24 (± 5%) Rш = 1 MОм
Включение дополнительных и шунтирующих резисторов неизбежно связано с увеличением потерь мощности и уменьшением КПД выпрямительной схемы.
Какие бывают выпрямители
Построение устройств, выпрямляющих переменный ток, базируется на функции итогового агрегата. При необходимости только выравнивать колебания сборка на печатных платах производится за счет неуправляемых полупроводниковых элементов – диодов. Таким образом строятся простейшие выравнивающие элементы.
При необходимости изменений уровня мощности, которая передается на принимающее оборудование, устройство собирают с использованием контролируемых вентилей (тиристоров). Такие выпрямители тока требуются для работы некоторых двигателей, работающих за счет электричества. За счет регулировки подаваемого напряжения изменяется скорость вращения ротора.
N-фазные выпрямители
В подобных устройствах насчитывают более 3 фаз для выпрямления тока. Другие конструктивные особенности различаются. Многофазный выпрямитель может состоять как из полноценного моста, так и из четверти и половины. По количеству входов и распараллеливанию их делят на раздельные, объединенные звездами или кольцами. Кроме того, существуют последовательные виды.
Схема простого выпрямителя
Синусоидальное напряжение представляет собой периодический сигнал, изменяющийся во времени. С математической точки зрения он описывается функцией, в которой начало координат соответствует времени равным нулю. Сигнал состоит из двух полуволн. Находящаяся полуволна в верхней части координат относительно нуля называется положительным полупериодом, а в нижней части — отрицательным.
При подаче переменного напряжения на диод через подключённую к его выводам нагрузку, начинает протекать ток. Этот ток обусловлен тем, что в момент поступления положительного полупериода входного сигнала диод открывается. В этом случае к аноду прикладывается положительный потенциал, а к катоду отрицательный. При смене волны на отрицательный полупериод диод запирается, так как меняется полярность сигнала на его выводах.
Таким образом, получается, что диод как бы отрезает отрицательную полуволну, не пропуская её на нагрузку и на ней появляется пульсирующий ток только одной полярности. В зависимости от частоты приложенного напряжения, а для промышленных сетей она составляет 50 Гц, изменяется и расстояние между импульсами. Такого вида ток называется выпрямленным, а сам процесс —однополупериодным выпрямлением.

Выпрямляя сигнал, используя один диод, можно питать нагрузку, не предъявляющую особых требований к качеству напряжения. Например, нить накала. Но если запитать, например, приёмник, то появится низкочастотный гул, источником которого и будет промежуток, возникающий между импульсами. В некоторой мере для избавления от недостатков однополупериодного выпрямления совместно с диодом применяется параллельно включённый нагрузке конденсатор. Этот конденсатор будет заряжаться при поступлении импульсов и разряжаться при их отсутствии на нагрузку. А значит, чем больше значение ёмкости конденсатора, тем ток на нагрузке будет более сглажен.
Как обозначается диодный мост на схеме

Диодный мост на схеме
Схема другого типа, которая производит ту же форму выходного сигнала, что и схема двухполупериодного выпрямителя, описанная выше.
Основным преимуществом этой мостовой схемы является то, что для нее не требуется специальный трансформатор с центральным отводом, что снижает его размеры и стоимость. Одна вторичная обмотка подключена к одной стороне сети диодного моста, а нагрузка – к другой стороне, как показано ниже.
Диодный мостовой выпрямитель

Диодный мостовой выпрямитель
Четыре диода, обозначенные от D 1 до D 4, расположены в виде «последовательных пар», и только два диода проводят ток в течение каждого полупериода. В течение положительного полупериода питания диоды D1 и D2 работают последовательно, в то время как диоды D3 и D4 смещены в обратном направлении, и ток протекает через нагрузку, как показано ниже.
Однополупериодный выпрямитель.
Схема однополупериодного выпрямителя выглядит следующим образом:
Пусть на входе у нас переменное напряжение, меняющееся по синусоидальному закону:
Резистор же R_н играет роль нагрузки. То есть мы должны обеспечить протекание через него постоянного тока. Давайте разберемся как эта простейшая схема сможет решить нашу задачу!
Итак, диод D_1 пропускает ток только в одном направлении, в те моменты, когда к нему приложено прямое смещение, что соответствует положительным полупериодам (U_{вх}\gt0) входного сигнала. Когда к диоду будет приложено обратное смещение (отрицательные полупериоды), он будет закрыт и по цепи будет протекать только незначительный обратный ток. И в результате сигнал на нагрузке будет выглядеть так:
Обратным током обычно можно пренебречь, поэтому в итоге мы получаем, что ток через нагрузку протекает только в одном направлении. Но назвать его постоянным не представляется возможным Ток через нагрузку хоть и является выпрямленным (протекает только в одном направлении), но носит пульсирующий характер.
Для сглаживания этих пульсаций в схему выпрямителя тока обычно добавляется конденсатор:
Идея заключается в том, что во время положительного полупериода, конденсатор заряжается (запасает энергию). А во время отрицательного полупериода конденсатор, напротив, разряжается (отдает энергию в нагрузку).
Таким образом, за счет накопленной энергии конденсатор обеспечивает протекание тока через нагрузку и в отрицательные полупериоды входного сигнала. При этом емкость конденсатора должна быть достаточной для того, чтобы он не успевал разряжаться за время, равное половине периода.
Проверяем напряжение на нагрузке для этой схемы:
В точке 1 конденсатор заряжен до напряжения U_1. Далее входное напряжение понижается, а конденсатор, в свою очередь, начинает разряжаться на нагрузку. Поэтому выходное напряжение не падает до нуля вслед за входным.
В точке 2 конденсатор успел разрядиться до напряжения U_2. В то же время значение входного сигнала также становится равным этой же величине, поэтому конденсатор снова начинает заряжаться. И эти процессы в дальнейшем циклически повторяются.
А теперь поэкспериментируем и используем в схеме однополупериодного выпрямителя конденсатор меньшей емкости:
И здесь мы видим, что конденсатор из-за меньшей емкости успевает разрядиться гораздо сильнее, и это приводит к увеличению пульсаций, а следовательно к ухудшению работы всей схемы.
На промышленных частотах 50 – 60 Гц однополупериодный выпрямитель практически не применяется из-за того, что для таких частот потребуются конденсаторы с очень большой емкостью (а значит и внушительными габаритами).
Смотрите сами, чем ниже частота, тем больше период сигнала (а вместе с тем, и длительности положительного и отрицательного полупериодов). А чем больше длительность отрицательного полупериода, тем дольше конденсатор должен быть способен разряжаться на нагрузку. А это уже требует большей емкости.
Таким образом, на более низких частотах в силу своих ограничений эта схема не нашла широкого применения. Однако, на частотах в несколько десятков КГц однополупериодный выпрямитель используется вполне успешно.
Рассмотрим преимущества и недостатки однополупериодного выпрямителя:
- К основным достоинствам схемы, в первую очередь, конечно же, можно отнести простоту и, соответственно, небольшую себестоимость – используется всего один диод.
- Кроме того, снижено падение напряжения. , при протекании тока через диод на нем самом падает определенное напряжение. По сравнению с мостовой схемой (которую мы разберем в следующей статье), ток протекает только через один диод (а не через два), а значит и падение напряжения меньше.
Основных недостатков также можно выделить несколько:
- Схема использует энергию только положительного полупериода входного сигнала. То есть половина полезной энергии, которую также можно было бы использовать, уходит просто в никуда. В связи с этим КПД выпрямителя крайне низок.
- И даже с использованием сглаживающих конденсаторов величина пульсаций довольно-таки значительна, что также является очень серьезным недостатком.
Итак, давайте резюмируем! Мы разобрали схему и принцип работы однофазного однополупериодного выпрямителя тока, а в следующей статье перейдем к более сложным схемам выпрямителей, не пропустите!
Однофазные выпрямители
Основными схемами однофазных выпрямителей являются однополупериодная и двухполупериодная (мостовая или со средней точкой).
Однофазная однополупериодная схема является самой простейшей схемой выпрямителя.
Трансформатор преобразовывает сетевое напряжение первичной обмотки Uc в напряжение вторичной обмотки U2. Так как диод Д имеет одностороннюю проводимость, ток I2 будет протекать только при положительной полуволне вторичного напряжения, при отрицательной полуволне диод будет закрыт. Так как ток в нагрузке Rн протекает только в один полупериод, отсюда и название выпрямителя — однополупериодный.
К недостаткам однополупериодных выпрямителей следует отнести униполярный ток, который, проходя через вторичную обмотку, намагничивает сердечник трансформатора, изменяя его характеристики и уменьшая КПД, высокий уровень пульсаций и большое обратное напряжение на диоде.
Двухполупериодные схемы выпрямления уже значительно интересней. Из них наибольшую популярность приобрела мостовая схема включения диодов.
Схема состоит из трансформатора и четырех диодов,собранных мостом. Одна из диагоналей моста соединена с выводами вторичной обмотки трансформатора, вторая диагональ с нагрузкой. При положительном потенциале в точке a вторичной обмотки трансформатора ток пойдет по цепи точка a вторичной обмотки — A — диод Д1 — B — нагрузка Rн — D — диод Д3. К диодам Д2 и Д4 при этом приложено обратное напряжение, они заперты. При изменении направления Э.Д.С и тока во вторичной обмотке положительный потенциал появится уже в точке b вторичной обмотки трансформатора. Ток при этом пойдет по цепи b — C — диод Д2 — B — нагрузка Rн — D — диод Д4.
Таким образом ток в нагрузке не меняет своего направления. Кривые напряжения и тока на нагрузке повторяют (при прямом напряжении на диодах U np ≈ 0) по величине и форме выпрямленные полуволны напряжения и тока вторичной обмотки трансформатора. Они пульсируют от нуля до максимального значения.
Кроме мостовой схемы выпрямления может применяться двунаправленная схема.
Схема состоит из трансформатора со средней отпайкой на вторичной обмотке и двух диодов. Когда в точке a имеется положительный потенциал ток протекает по цепи a — диод Д1 — нагрузка Rн — отпайка вторичной обмотки. При положительном потенциале в точке b вторичной обмотки ток потечет по цепи b — диод Д2 — с — нагрузка Rн — отпайка вторичной обмотки.
На левом рисунке показана зависимость напряжения вторичной обмотки трансформатора от времени, на правом изменение тока нагрузки. Как следует из работы выпрямителя, направление тока в нагрузке неизменно. Вторичная обмотка трансформатора двухфазная и каждая фаза работает половину периода. Напряжение на нагрузке в любой момент равно мгновенному значению ЭДС фазы, работающей в данный момент.
К основным минусам данной схемы можно отнести необходимость делать отпайку вторичной обмотки трансформатора и большое обратное напряжение диода Uобр = 2U2м = 3,14U0, поэтому она не получила столь широкого распространения как мостовая схема.
Нулевая схема выпрямления
Рассмотреть принцип действия самого простого выпрямителя однофазного тока целесообразно на так называемой нулевой схеме. Хотя она сейчас встречается относительно редко (о чем речь пойдет далее), знание физических процессов, которые происходят в этой схеме, очень важны для понимания дальнейшего материала.
Нулевая схема выглядит так:

Трансформатор Тр имеет на вторичной стороне две обмотки, соединенные последовательно таким образом, что относительно средней точки а напряжения на свободных концах обмоток в и с одинаковые по величине, но противоположные по фазе. Выпрямительное устройство образовано двумя диодами D1 и D2, которые соединены вместе своими катодами, тогда как каждый анод соединен с соответствующей обмоткой. Нагрузка Zн присоединена между катодами диодов и точкой трансформатора.
Рассмотрим, как возникает пульсирующее напряжение на нагрузке. Сначала будем считать нагрузку чисто активным сопротивлением, Zн=Rн. Когда напряжение в обмотках будет изменяться по синусоидальному закону, то в тот полупериод, когда к аноду диода приложен положительный потенциал, будет проходить прямой ток. Поскольку напряжение на диоде составляет доли вольта, пренебрежем им. Тогда вся положительная полуволна переменного напряжения будет приложена просто к нагрузке Rн. Когда напряжение приложенное минусом к аноду, тока не будет (малым обратным током диода также пренебрежем). Таким образом, до нагрузки будем доходить лишь положительная полуволна переменного напряжения в течении половины периода. Вторая половина периода будет свободна от тока.
Вторичные обмотки соединены противофазно, нагрузка общая для обеих обмоток, таким образом, в то время, когда в одной из них (например в верхней) ток будет проходить, другая будет от него свободна и наоборот.
Поэтому в нагрузке каждый полупериод будет заполнен полуволной переменного напряжения:

И выпрямленное напряжение Ud будет иметь вид одинаковых полуволн, которые повторяются с периодом, вдвое меньшим, чем период переменного напряжения в сети питания (2π радиан). Для обобщения, что будет удобно, далее будем считать, что период изменения выпрямленного напряжения меньше 2π в m раз и равняется 2π/m (в нашем случае m-2). Если нагрузка активное сопротивление Rн, то и ток в нем id , будет повторять кривую напряжения.
Рассмотренная схема будет иметь тот недостаток, что во вторичных обмотках по сравнению с первичной имеют место значительные пульсации тока, потому что эти обмотки работают по очереди. Поскольку они намотаны на один сердечник, магнитный поток в последнем будет переменным, поэтому и в первичной обмотке ток будет переменным, имея как положительную, так и отрицательную полуволны. Как известно из курса электротехники, действующие и средние значения тока или напряжения одинаковые только для постоянного тока. Чем больше пульсации, тем больше будет действующее значение относительно среднего. Поэтому мощности обеих сторон трансформатора не будут одинаковыми. Однако трансформатор один, и объем железа для его сердечника следует выбирать, исходя из какого-то одного значения мощности.
Советуем изучить — Гост 7746-89
Поэтому условно ввели понятие типовой мощности трансформатора, которая равняется среднему мощностей обеих сторон:
Основные соотношения для выпрямителя
Выведем некоторые важные формулы, которые описывают процессы, существующие в этой схеме. Будем считать, что заданными величинами являются средние значения напряжения на нагрузку Ud и среднее значение тока в нем Id.

Запомним это выражение на дальнейшее. В нашем случае m=2 и . Поскольку Ud считаем заданным, то
Из предыдущего выражения имеем:
Этот коэффициент определяет отношения питающей сети к напряжению на обмотке вторичной стороны:
Действующее значение тока вторичной обмотки
Ток вторичной обмотки в то же время есть током в нагрузке. Поскольку нагрузка чисто активная и ток в ней повторяет по форме пульсирующее напряжение, то между его средним значением и его действующим значением существует такая же зависимость, что и для напряжений, то есть
Ток в первичной обмотке повторяет с учетом n ток вторичной обмотки :
Мощности первичной и вторичной сторон трансформатора в этой схеме одинаковые, поэтому:

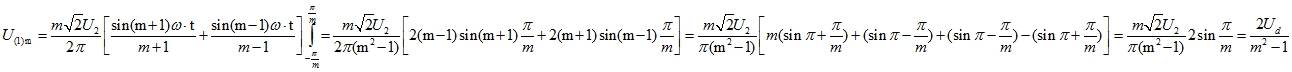
Пульсация выпрямленного напряжения
Пульсирующее напряжение состоит из среднего значения Ud и бесконечного количества гармоничных составляющих, амплитуды которых можно определить по формулам Фурье. Если начало координат выбрать так как на рисунке, то в гармоничном составе будут присутствовать только косинусные гармоники (т.к. кривая симметрична относительна оси координат). Амплитуда k-ой гармоники определяется по формуле:
Где: l – полупериод π/m;
Наибольшую амплитуду будет иметь первая гармоника U(1)m, поэтому определим только ее, предположив, что k=1:
Заменив
получим:

Отношение первой гармоники к среднему значению называют коэффициентом пульсаций:
Запомним эту формулу на будущее, а сейчас отметим, что в нашем случае при m – 2, q – 2/3. Это большие пульсации – амплитуда первой гармоники составляет 67% от среднего значения выпрямленного напряжения.
Средний ток диодов
Как мы уже видели диоды работают по очереди – каждый из них проводит в среднем половину общего тока , который есть в нагрузке. Поэтому каждый из диодов должен быть рассчитан на ток Iв = Id/2
Наибольшее обратное напряжение на диоде
В то время когда диод B1 проводит его можно считать замкнутым, и тогда к диоду B2 будет приложено в обратном направлении напряжение вторичной обмотки. Поэтому каждый из диодов должен быть рассчитан на ее амплитудное значение:
Трехфазная мостовая схема (схема Ларионова)
Трехфазная мостовая схема (рис. 1.6, а) обладает наилучшим коэффициентом использования трансформатора по мощности, наименьшим обратным напряжением на диодах и высокой частотой пульсации (шестипульсная) выпрямленного напряжения, что, в некоторых случаях, позволяет использовать эту схему без фильтра. Схема применяется в широком диапазоне выпрямленных напряжений и мощностей.
Схема трехфазного мостового выпрямителя содержит выпрямительный мост из шести вентилей, в котором последовательно соединены две трехфазные группы. В нижней группе вентили соединены катодами (катодная группа), а в верхней – анодами (анодная группа). Нагрузка подключается между точками соединения катодов и анодов вентилей. Схема допускает соединение как первичных, так и вторичных обмоток трансформатора звездой или треугольником.
Диаграммы напряжений и токов, поясняющие работу идеализированного трехфазного мостового выпрямителя на активную нагрузку, представлены на рис. 1.6 (б, в).

Рис. 1.6. Трехфазная мостовая схема выпрямления (схема Ларионова) (а) и диаграммы напряжений и токов в ней при работе на активную нагрузку (б, в).
Каждая из двух групп выпрямителя повторяет работу трехфазного выпрямителя со средней точкой, поэтому при таком же значении напряжения вторичной обмотки трансформатора






что сокращает число витков вторичных обмоток трансформатора и снижает требования к изоляции.
Максимальное обратное напряжение вентиля данной схемы, как и в трехфазной схеме со средней точкой, равно амплитуде линейного вторичного напряжения. Однако ввиду того, что при том же значении



В схеме трехфазного выпрямителя со средней точкой ток нагрузки создается под действием фазного напряжения вторичной обмотки трансформатора, а в мостовой схеме – под действием линейного напряжения. Ток нагрузки здесь протекает через два вентиля: один – с наиболее высоким потенциалом анода относительно нулевой точки трансформатора из катодной группы, другой – с наиболее низким потенциалом катода из анодной группы. Иными словами, в проводящем состоянии будут находиться те два накрест лежащих вентиля выпрямительного моста, между которыми действует в проводящем направлении наибольшее линейное напряжение.
За период напряжения питания происходит шесть переключений вентилей и схема работает в шесть тактов, в связи с чем ее часто называют шестипульсной. Таким образом, выпрямленное напряжение имеет шестикратные пульсации, хотя угол проводимости каждого вентиля такой же, как в трехфазной схеме со средней точкой, т.е. 2π/3 (120º). Среднее значение тока вентиля соответственно составляет

Кривая тока вторичной обмотки трансформатора определяется токами двух вентилей, подключенных к данной фазе. Один из вентилей входит в анодную группу, а другой – в катодную. Вторичный ток является переменным с паузой между импульсами длительностью π/3 (60º), когда оба вентиля данной фазы закрыты. Постоянная составляющая во вторичном токе отсутствует, в связи с чем поток вынужденного подмагничивания магнитопровода трансформатора в мостовой схеме не создается.
На базе этой схемы возможно построение 12-ти и 24-х пульсных схем выпрямления, которые используют последовательное и параллельное соединение схем при различном сочетании соединений (“звезда” или “треугольник”) вторичных обмоток трансформатора.
Коэффициент использования трансформатора для различных схем выпрямления при активной нагрузке
Аналогично рассмотренной схеме со средней точкой могут быть определены габаритная мощность и коэффициент использования трансформатора по мощности для любых схем выпрямления при чисто активной нагрузке :

























































